- Содержание
- Плоттеры для нарезки гидрогелевых пленок
- Финансовые вложения
- Как сделать меланж в домашних условиях
- Яичный меланж
- Состав
- Пищевая ценность
- Свойства
- Принцип работы приготовления эмульсионной матрицы и компонентов взрывчатых веществ
- 2.4 Требования к готовой продукции
- Заключение
- Список используемых источников
- Расчет удельного расхода дизельного топлива
- Основные характеристики мини-завода
- Производство
- Жидкий меланж
- Сухой порошок
- Фасовка
- Какие нужны насосы на мини-заводе для производства пищевого молочного продукта
- Принцип работы оборудования для производства гуминового удобрения
- Помещения маслобойного цеха
Содержание
Введение
1. Технико-экономическое обоснование
1.1 Экономико-географическая характеристика
1.2 Характеристика проектируемого предприятия
1.3 Обоснование производственной мощности
1.4 Характеристика сырьевой зоны
1.5 Маркетинговые исследования
2. Технологическая часть
2.1 Характеристика сырья
2.2 Характеристика ассортимента и направление переработки молока
2.3 Выбор и обоснование технологического процесса
2.4 Продуктовые расчеты
2.5 Технологические особенности вырабатываемой продукции
2.6 Организация заквасочного производства
2.7 Организация производственного контроля
2.8 Подбор технологического оборудования и расчет площадей
2.9 Организация санитарной обработки технологического оборудования
2.10 Научно-исследовательская часть
3. Архитектурно-строительная часть
3.1 Генеральный план
3.2 Объемно-планировочное решение
3.3 Конструктивное решение
3.4 Теплотехнический расчет
4. Сантехническое решение
5. Холодоснабжение
6. Безопасность жизнедеятельности
6.1 Безопасность жизнедеятельности на производстве
6.2 Безопасность жизнедеятельности в чрезвычайных ситуациях
7. Обеспечение экологической безопасности
8. Автоматизация
9. Технико-экономическая оценка проекта
Заключение
Список использованной литературы
Приложение
Плоттеры для нарезки гидрогелевых пленок
Стоимость: 30-60 тыс. рублей
Плоттеры для нарезки гидрогелевой плёнки позволяют нарезать ее под любую из тысяч современных моделей смартфонов, и делать это за считанные секунды. Продуктивность плоттеров составляет около 2 тыс. плёнок в день, что в любом случае в сотни раз превысит реальные потребности. В обновляемую базу плоттера подгружены шаблоны всех возможных моделей телефонов, смарт-часов и фитнес-браслетов. Сами же гидрогелевые пленки легко клеятся и хорошо обеспечивают защиту от ударов и царапин.
Особенно наличие такого плоттера может облегчить жизнь для точки мобильных аксессуаров. Ведь модели телефонов имеют свойство устаревать, а это значит что магазины все больше захламляются неликвидным товаром. Приобрести плоттеры для гидрогелевых пленок можно за сумму от 30 тыс. рублей.
Впрочем, имейте в виду, что в этом направлении, как и в любом хайповом варианте бизнеса “практически без вложений”, не обошлось и без подводных камней. Компании-производители подобных плоттеров для гидрогелевых пленок подсаживают своих покупателей на использование своей собственной пленки с ограниченным количеством порезов. В итоге для покупателя каждая пленка обходится дорого и материал используется нерационально. В итоге в качестве выхода из ситуации приходится взламывать девайс, чтобы резать бесплатно на любой пленке.
Финансовые вложения
Лучше всего обрабатывать покупные или самостоятельно выращенные семена. Но иногда возникают проблемы с наличием такого сырья на рынке, поэтому не всегда стоит отказываться от оказания других услуг по переработке семян.
Это позволяет наладить отношения с поставщиками и покупателями указанной продукции, а маслобойни не останутся без дела, получая постоянный доход на постоянной основе. Кроме того, оказание таких услуг населению – довольно беззаботная работа. Прессованное масло из семян — получен небольшой, но стабильный доход, не надо думать, как продать это масло, нет затрат на транспортировку, хранение и тому подобное.
Как сделать меланж в домашних условиях
- Время: 10 минут.
- Количество порций: 2 персоны.
- Калорийность блюда: 157 ккал. на 100 г.
- Предназначение: заготовка.
- Кухня: многонациональная.
- Сложность: легкая.
Такая заготовка значительно облегчает приготовление блюд. Кроме того, она всегда выручит, если под рукой нет яиц, а они входят в рецепт. Приготовление меланжа не занимает много времени – хватит 5-10 минут. Главное правило – следует использовать только качественные свежие яйца. Если необходимо приготовить сухую смесь, то вместо этапа заморозки яйца выливают в пластиковый поддон и устанавливают его в месте с поступающим теплым воздухом. Продукт сушат в течение 20-24 часа. Затем его отделяют от поддона и измельчают в порошок.
- Разбить яйца в миску, взбить их в пену с помощью миксера.
- Посолить, перемешать.
- Выложить в форму или пакет, убрать в морозильную камеру.
Яичный меланж
Состав
Польза сухого и жидкого меланжа обусловлена богатым составом, наличием биологически активных элементов. Он содержит магний, кальций, калий, натрий, каротин, железо и другие вещества. Также в состав входят витамины, необходимые для организма. Содержащиеся легкоусвояемые белки способствуют регенерации тканей. Мелатонин омолаживает кожу. Холин нормализует обмен веществ и успокаивает нервную систему.
| Витаминно-минеральный комплекс | Содержание в 100 г меланжа, мг |
|---|---|
| Витамин А | 0,25 |
| Витамин В1 | 0,07 |
| Витамин В2 | 0,44 |
| Витамин РР | 0,19 |
| Натрий | 134 |
| Магний | 12 |
| Калий | 140 |
| Кальций | 55 |
| Фосфор | 192 |
Пищевая ценность
Яичный меланж – это уникальный продукт, в котором содержатся такие жирные кислоты, как линолевая, миристиновая, олеиновая. Эти компоненты нормализуют нервную и кровеносную системы. В 100 г яичного порошка содержится 11,5 г жиров, 12,5 г белков, 0,7 г углеводов. Калорийность считается высокой: на 100 грамм продукта приходится 157 калорий. Меланж обеспечивает организм кислотами омега-3 и омега-6, которые играют важную роль в работе сердечно-сосудистой системы.
Свойства
Биологически активные элементы, входящие в состав яичной смеси, обуславливают ее полезные свойства. В этом продукте вещества содержатся в концентрированном виде. Витамины, минералы способствуют нормальному развитию организма и насыщению необходимыми элементами. Продукт оказывает положительное влияние на работу нервной, сердечно-сосудистой систем, выработку новых клеток, функционирование мозга. Витамин В предупреждает развитие врожденного порока.
Как и любым другим продуктом, меланжем нельзя злоупотреблять. Поскольку данный ингредиент используют для приготовления множества мучных изделий, при их неумеренном потреблении есть риск сильного набора веса. Яичный порошок отличается высокой калорийностью и содержанием холестерина. Вред заключается и в высокой концентрации веществ
Кроме того, следует обращать внимание на качество продукта. Темно-коричневый цвет говорит о том, что жиры окислились
Если порошок плохо растворяется, значит, были нарушены условия хранения.
Принцип работы приготовления эмульсионной матрицы и компонентов взрывчатых веществ
Принцип работы приготовления эмульсионной матрицы и компонентов ВВ основан на технологии модульных пунктов НК ЭВВ, поставленных компанией АЗОТТЕХ на производственные объекты АО «ПОЛЮС Вернинское» (Бодайбо), АО «Золоторудная компания «ПАВЛИК» (ИК «АРЛАН», Магадан) и др. Отличием является меньшая производительность ЭМ, уменьшенные размеры емкостей основных компонентов, большая укомплектованность, так как оборудование располагается максимум в двух модулях, а также, самый важный момент, модули могут размещаться на шасси грузового автомобиля или полуприцепа (рис. 4), что подразумевает под собой мобильность конструкции и удобство использования в разных районах страны.

- Рис. 4 Пример размещения модуля на шасси полуприцепа
- Fig. 4 Example of the modular plant mounted on a semi-trailer
Выделим основные этапы работы мини-завода при производстве компонентов ЭВВ:
Приготовление горячего раствора окислителя;
Приготовление топливного раствора;
Приготовление эмульсионной матрицы;
Приготовление газогенерующих добавок.
Время приготовления представлено в табл. 2. Подготовкой к производству ЭМ является изготовление ГРО и ТР.
- Таблица 2 Время приготовления компонентов ЭВВ за один цикл
- Table 2 Preparation time for emulsion explosive components per cycle

Данные операции в большинстве случаев выполняются параллельно в течение 4 ч. Процесс приготовления ГРО, ТР и ЭМ происходит в Модуле №1, который вмещает несколько зон обслуживания, а также имеет комнату с размещенными в ней жидкостным котлом и гидравлической станцией для тепло- и электрообеспечения. Для приготовления ГРО используются аммиачная селитра и вода, подача которых происходит с помощью шнекового транспортера, установленного вне модуля, и насоса воды соответственно. Основной компонент ТР в емкость приготовления поступает из Модуля №2, в котором предусмотрено отделение разогрева. Контроль качества компонентов ЭМ перед подачей в производство контролируется посредством отбора проб через пробоотборники, встроенных в емкостях приготовления. После приготовления ГРО и ТР подача компонентов на эмульгирование выполняется автоматически насосами с приводами от гидравлических моторов при помощи пропорционального гидравлического распределителя. Получение ЭМ происходит в аппарате эмульгирования при смешении ГРО и ТР в течение 1 ч, за счет чего на выходе из коллоидного диспергатора образуется мелкодисперсная эмульсия типа «вода в масле» .
Модуль №2 имеет несколько зон обслуживания. Основная площадь предназначена для приготовления ГГД, на ней размещается несколько емкостей с возможностью ручного дозирования кислоты и нитрата натрия. В отдельном отсеке размещаются компоненты ТР в упаковочной таре (бочки или IBC контейнеры (еврокубы)), отделенные от общей зоны перегородкой. Комната хранения компонентов ТР имеет систему конвекции от змеевика напольного расположения с защитой от проливов для поддержания определенной температуры ТР при хранении. Для обеспечения автономного электроснабжения в Модуле №2 предусмотрен отсек, в котором размещается дизельный электрогенератор. Дизель-генератор питает весь комплекс оборудования и обеспечивает работу мини-завода в любых условиях.
Кроме того, по требованиям безопасности в модулях предусмотрены вентиляционная система и система пожаротушения, которые также работают за счет дизельного электрогенератора.
Размещение модулей может быть любым, но мы рекомендуем для безопасной выгрузки ЭМ и ГГД в СЗМ или доставщик предусмотреть зоны загрузки компонентов (см. рис. 2).
2.4 Требования к готовой продукции
По внешнему виду меланж представляет полужидкую жёлтую или
жёлто-оранжевую массу. Меланж можно замораживать, что позволяет значительно
увеличить срок его хранения. В то же время яйца, лишенные скорлупы, гораздо
быстрее портятся, что повышает риск нарушения санитарных условий при
использовании меланжа. Меланж выпускается охлажденным, замороженным, в
асептической упаковке. Применяют меланж для приготовления продукции, для
которой нет необходимости использовать целые яйца (как, например, в бисквитах
или блюдах с варёными яйцами).
Таблица 1. Органолептические показатели (массовая доля, % не менее)
|
Жидкий яичный меланж, замороженный |
Жидкий яичный меланж, охлажденный |
||||
|
Внешний вид и консистенция |
Однородный продукт без посторонних примесей, без осколков |
Однородный продукт без посторонних примесей, без осколков |
|||
|
Цвет |
От желтого до оранжевого |
||||
|
Вкус, запах |
Естественный, яичный, без постороннего запаха |
Таблица 2. Физико-химические показатели
|
Вид продукта |
Сухого вещества (массовая доля, % не менее) |
Жира (массовая доля, % не менее) |
Белковых веществ (массовая доля, % не менее) |
Концентрация водородных ионов, pH |
|||
|
— меланж |
25,0 |
10,0 |
10,0 |
||||
|
— желток |
46,0 |
27,0 |
15,0 |
не менее 5,9 |
|||
|
— белок |
11,8 |
— |
11,0 |
не менее 8,0 |
Таблица 3.Микробиологические показатели.
|
Жидкий яичный белок, замороженный |
Жидкий яичный белок, охлажденный |
|
|
КМАФАнМ, КОЕ/г, не более |
5*105 |
1*105 |
|
БГКП (колиформы) в 0,1 продукта |
не допускается |
не допускается |
|
St.aureus в 1,0 г продукта |
не допускается |
не допускается |
|
Протей в 1,0 г продукта |
не допускается |
не допускается |
|
Патогенные, в т.ч. сальмонеллы в 25 г продукта |
не допускается |
не допускается |
Сроки хранения.
Меланж (охлажденный) хранят при температуре не выше 5 °С — не более 24 ч.
Меланж (замороженный) хранят при температуре не выше -18 °С — не более 15 мес;
при температуре не выше -12С — не более 10 мес; при температуре не выше -6 °С — не более
6 мес. Опыт показывает, что использовать это яичное изделие намного удобнее,
практичнее и экономичнее, чем само яйцо. В Европе только 20 % яйцепродуктов в
естественном виде, а остальные 80 % — в виде меланжа.
Меланж имеет ряд преимуществ перед яйцом и яичным порошком.
.Сводится к минимуму ручной труд.
.Заметно улучшается санитарное состояние производства.
.Меланж улучшает вкусовые качества продукции.
Заключение
В результате проведённого исследования по теме «Технология
производства мясных консервов» можно сделать ряд выводов:
. Для производства яичного меланжа используются яйца куриные
незагрязненные с целостной или поврежденной скорлупой, без признаков течи,
хранившиеся при температуре (9±1) °С, не более суток, не считая дня снесения.
. Химический состав мороженых яичных продуктов аналогичен
химическому составу соответствующих частей куриного яйца, из которого они
приготовлены.
. Металлические банки разных объёмов дoлжны oбecпeчивaтъ
гepмeтичнocть и кoppoзиoннyю cтoйкocтъ, гигиeничнocть, бoлъшyю
тeплoпpoвoднocтъ, тeплоcтoйкocтъ, пpoчнocть, минимaльнyю мaccy, низкyю cтoимоcть.
Для производства меланжа пригодны полиэтиленовые пакеты которые в любом виде
сохраняет герметичность.
Список
используемых источников
. ГОСТ 27583 «Яйца куриные пищевые. Технические
условия»
. ГОСТ 30363-96 «Продукты яичные»
. http://www.praxis-ovo.com
. http://1mpf.by
Расчет удельного расхода дизельного топлива
Основным источником энергии для водогрейного котла и электрогенератора электроэнергии является дизельное топливо. В Модулях №1 и №2 имеются емкости хранения ДТ, расположенные в одном помещении с котлом и дизель-генератором. Объемы емкостей ДТ были выбраны исходя из расчетов расхода на работу растворения ГРО, ТР, ЭМ, ГГД и других вспомогательных операций.
- Таблица 4 Требуемая мощность для обогрева основных зон приготовления компонентов
- Table 4 Required power for heating the main component preparation zones

В табл. 4 представлены значения нагрузки и расходов потребителей ДТ. Расчет расхода ДТ на работу котла осуществляется по формуле (1). Исходя из того, что все потребление котла идет на растворение ГРО, расчет ведется по времени приготовления окислителя. Увеличивая производительность ЭМ, расход ДТ увеличивается пропорционально циклам растворения. За один цикл работы возможно получить 5 т ЭМ в сутки, время работы согласно табл. 2–6 ч. Для приготовления 10 и 15 т ЭМ необходимо провести 2 или 3 цикла работы соответственно. Значения удельного расхода топлива разной производительности ЭМ для водогрейного котла представлены в табл. 5.
- Таблица 5 Расчет потребления ДТ и удельного расхода водогрейного котла и дизель-генератора
- Table 5 Calculation of diesel fuel consumption and specific consumption of the hot water boiler and diesel generator

kii

qki – удельный расход топлива котла на i тонн ЭМ в сутки, i – объем ЭМ в сутки.
Расчет ДТ для дизель-генератора осуществляется по формуле (2). Распределение нагрузки зависит от режима работы, например, при растворении ГРО и ТР затраты ДТ на генератор – 70%, при изготовлении ЭМ нагрузка на дизель-генератор возрастает до 100%. Для поддержания всех систем в рабочем состоянии вне цикла приготовления дизель-генератор затрачивает нагрузку в 50%.

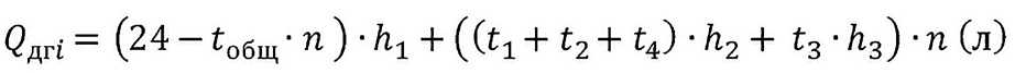
где Qгдi – расход топлива дизель-генератора на i тонн ЭМ в сутки, h1,2,3 – номинальный расход дизельгенератора в зависимости от нагрузки (табл. 4), t(1,2,3,общ) – время цикла на изготовление компонентов (табл. 2), n – количество циклов работы;

qдгi – удельный расход топлива дизель-генератора на i тонн ЭМ в сутки, i – объем ЭМ в сутки.
Общее потребление ДТ и удельный расход от дизель-генератора и водогрейного котла рассчитывается по формуле (3). Все значения расходов ДТ для разной производительности ЭМ представлены в табл. 5. Распределение нагрузки в зависимости от циклов производства представлено на рис. 5. Исходя из общих расчетов и регламента работы в каждом модуле предусмотрены баки ДТ объемом по 1000 л, что обеспечивает максимальную производительность всего оборудования и бесперебойное электрои теплопотребление.

где Qобщi – общее потребление ДТ в зависимости от производительности ЭМ;

qобщi – общий удельный расход топлива на i тонн ЭМ в сутки.
Таким образом, в зависимости от суточной производительности ЭМ увеличивается нагрузка дизель-генератора. Расчет удельного расхода топлива делается предварительно и помогает обеспечить достаточное потребление топлива при максимальных режимах работы. Максимальной производительностью с тремя циклами работы является 15 т эмульсии в сутки. Это значение превосходит рекомендованные показатели работы для данного типа оборудования, поэтому предусматривает частое техническое обслуживание и дополнительные требования безопасности.
Основные характеристики мини-завода
Производительность УМПП НК ЭВВ составляет порядка 5 тыс. т ЭМ в год при полной загрузке, и около 350 т/г ГГД. По размещению мини-завод может занимать разную площадь в зависимости от компоновки и расположения. Площадь одного модуля, установленного на прицепе автомобиля, составляет 31 м2, шнекового загрузчика – 2,3 м2.

- Рис. 2 Расположение оборудования на площадке в общем виде
- Fig. 2 General layout of the equipment on site
На рис. 2 представлена стандартная схема размещения в общем виде, которая занимает 65 м2 технологического оборудования мини-завода, а его общая площадь с зоной загрузки ЭМ и ГГД – 130 м2. Основные технические показатели представлены в табл. 1.
- Таблица 1 Технические характеристики УМПП НК ЭВВ
- Table 1 Technical specifications of the modular mobile plant for preparation of non-explosive components of emulsion explosives

Мини-завод представляет собой технологическое оборудование, размещенное в модулях с размерами стандартных 40-футовых контейнеров, конфигурация и количество которых предусматривают раздельное нахождение основного узла (производство эмульсионной матрицы) и узла приготовления газогенерирующей добавки (ГГД). Основу контейнеров составляют несущие сборно-сварные металлоконструкции, а ограждающие конструкции стен и кровли выполнены из сэндвич-панелей с утеплителем из минеральной ваты на основе горных пород базальтовой группы.

- Рис. 3 Комплектация УМПП НК ЭВВ
- Fig. 3 Equipment of the modular mobile plant for preparation of non-explosive components of emulsion explosives
В состав мини-завода входят (рис. 3):
• система приготовления горячего раствора окислителя (ГРО);
• система приготовления топливного раствора (ТР);
• система приготовления эмульсионной матрицы (ЭМ);
• система приготовления ГГД;
• отделение с гидравлической станцией и жидкостным котлом;
• отделение разогрева ТР;
• отделение дизель-генератора;
• система подачи воды для приготовления ГРО;
• системы обогрева емкостей и модуля;
• шнековый загрузчик располагается отдельно (см. рис. 2).
Удобство и мобильность конструкции позволяют изготавливать НК ЭВВ в непосредственной близости от площади разработки месторождения. Наличие встроенного генератора обеспечивает автономность комплекса производства и освобождает от стационарного электроснабжения. Комплектация мини-завода подобрана таким образом, что обслуживание и эксплуатация могут производиться 2 специалистами.
Основной компонент ЭВВ – эмульсионная матрица. Она изготавливается в Модуле № 1 по определенной рецептуре. Это может быть как собственный продукт заказчика со своим составом, так и эмульсионная матрица марки «Березит» авторской рецептуры АЗОТТЕХ2 . Главными составляющими ЭМ являются ГРО и ТР, которые, в свою очередь, состоят из аммиачной селитры и воды для ГРО, а также дизельного топлива (минерального масла) и эмульгатора для ТР. Управление процессом приготовления осуществляется системой автоматики и панелью управления, кроме того, на оборудовании установлены визуальные датчики для удобства обслуживания и контроля.
Мини-завод в отличие от модульных пунктов и стационарных цехов имеет ряд преимуществ в обслуживании и применении. Мы предлагаем данный тип оборудования компаниям, которые только начинают строительство, проектирование или освоение мест добычи полезных ископаемых. Использование данного комплекса позволит предприятиям, как большим, так и развивающимся, начать взрывные работы на месторождениях, не привлекая огромный комплекс машин, тем самым принося прибыль при параллельном строительстве и развитии инфраструктуры опасного производственного объекта, и, как следствие, сокращая издержки.
Производство
Первым этапом изготовления меланжа является автоматизированная мойка яиц, которая осуществляется под большим напором дезинфицирующего раствора. После этого их отправляют на аппарат для разбивания, где удаляются скорлупа и пленка, отделяются желтки от белков. В бункере смешивается яичная масса. Далее она проходит процесс фильтрации, после чего производится жидкая форма меланжа либо сухая
Важно, чтобы оборудование для изготовления меланжа было сделано из нержавеющей стали. Оно должно регулярно подвергаться чистке и дезинфекции – от этого зависит качество продукта
Жидкий меланж
Данная форма продукта производится двумя способами – путем прохождения пастеризации, с помощью заморозки. Первый метод предполагает размещение меланжа в специальных асептических емкостях после пастеризации при температуре 65-70 градусов и охлаждения. При этом срок хранения не превышает 4 недель. Метод способствует сохранению в пастеризованном продукте вкусовых качеств, свойств яиц, их химического состава. При заморозке меланж хранится до нескольких месяцев. Он сохраняет свойства и характеристики. Витаминно-минеральный комплекс, белки и кислоты не распадаются.
Сухой порошок
Технология обезвоживания помогает продлить срок годности продукта. В процессе сушки из сырья удаляется около 70 процентов влаги. Такой продукт производится путем распыления жидкого меланжа, после чего он фасуется в специальные упаковки. В ходе подобного процесса можно получить сухую смесь желтка и белка либо отдельные порошки этих компонентов. Конечный продукт прост в применении. Его хранят в картонных ящиках, металлических емкостях, полиэтиленовых пакетах.
Фасовка
Обеззараженный меланж поступает в очередной общий сосуд, из которого он уже разливается по таре (объем ее прописан регламентом производства). Готовые упаковки с меланжем или замораживаются до температуры -18 о С, или остаются как есть, все зависит от того, какова специфика его дальнейшего использования и на какие расстояния планируется перевозить продукт.
В первом случае срок годности составляет в среднем около 15 месяцев, тогда как во втором — 28 календарных дней с момента фасовки. Иными словами, оборудование для производства меланжа поставляет одинаковый по качеству продукт, а вот тип и срок его хранения определяются исключительно практическими потребностями на данный момент времени. После разморозки меланж качеств своих не теряет.
Технология производства яичного меланжа в отдельных случаях подразумевает использование стабилизаторов. Их появление обусловлено спецификой дальнейшего использования продукта, так как потребность в нем увеличилась. Например, соль добавляют в смесь перед отправкой на производство майонеза или иных соленых продуктов, сахар — на кондитерскую ниву для бисквитов и тортов, а меланж с глицерином востребован в ликероводочном производстве.
-
Агитбригада по профессиям в школе сценарий
-
Экономическая безопасность краткое содержание
-
Проблемы преемственности детского сада и начальной школы по математическому развитию презентация
-
Годовое комплексно тематическое планирование в доу по фгос голицына старшая группа
- Изложение на тему самолетик 4 класс
Какие нужны насосы на мини-заводе для производства пищевого молочного продукта
Пищевые насосы предназначены для перекачивания молока или густых веществ, вязкость которых составляет до 20 Пас. Агрегат для производства продукции выполнен из нержавеющей стали. Он состоит из моноблока, соединительной муфты и шланга, через который поступает молоко. Про модульные бойни для скота узнайте тут.
При большом количестве молока, такое оборудование просто необходимо, так как молоко необходимо заморозить в кратчайшие сроки
Существуют импеллерные, центробежные, шнековые и другие виды насосов. Цены насосов лежат в пределах от 5 000 руб. до 50 000 руб. Про шнековые грануляторы комбикорма сделанные своими руками расскажет эта статья.
Принцип работы оборудования для производства гуминового удобрения
Переработка биологических отходов для получения жидких гуминовых удобрений возможна при помощи специальной закрытой емкости с бескислородной средой внутри. Она называется биоактиватор.
Каждая емкость данного типа дополнительно оборудуется специальным клапаном для стравливания метана, который образуется в процессе переработки отходов. Также биоактиватор имеет крышку. Через нее происходит закладка подготовленного сырья в пропорции 1:1 с водой. Также чтоб ускорить процесс производства удобрения, каждая емкость оснащена мощными ТЭНами.
Процесс переработки гуминовых удобрений
На протяжении 24-48 часов в биоактиваторе нужно поддерживать стабильную температуру на уровне 50-60°С. По истечении этого термина процесс становится термически стабильным. Также чтоб получить качественный продукт, необходимо постоянно перемешивать смесь. Это нужно делать каждые 6 часов, что препятствует образованию корки, которая негативно влияет на процесс переработки отходов.
В среднем гниение биомассы продолжается 2-3 недели. Определить завершение этого процесса можно, если прекращается поступление метана в накопительную емкость. Полученное жидкое гуминовое удобрение можно разливать по банкам и использовать по назначению.
Помещения маслобойного цеха
К оборудованию для данного производства можно отнести следующие параметры:
| Оборудование | Производительность, уп/мин | Цена, руб. |
| Линия по производству масла | до 10 тонн в сутки | 1 931 040 |
| Линия переработки | до 5 тонн в сутки | 2 000 000 |
| Упаковочная линия | 2700 бутылок в одной | 2 132 000 |
| Общая стоимость игры, всего: | 6 063 040 |
Затраты на оборудование должны быть учтены и уложены в бухгалтерский отчет:
| Наименование расходов | Расходы |
| Доставка оборудования 15% от стоимости оборудования | 909 456 |
| Монтаж производственных линий 20% от стоимости | 1 212 608 |
| ОБЩАЯ КАП. РАСХОДЫ | 2 122 064 |
Бизнес-план производства подсолнечного масла – непростая задача. Производственное помещение, где можно обрабатывать семена до 120 кг в час, имеет площадь около 40 м2. По нормам такая мастерская должна иметь жесткий бетонный пол, высота стен (окрашенных панелей) должна быть не менее 2 метров. Побеленный и оштукатуренный потолок.
Одна и та же мастерская может использоваться для одновременного «выжимания» и фильтрации масла, или эти 2 помещения могут быть разделены примерно на 20 м2. Следующая комната должна быть площадью от 50 до 90 м2. Это склад сырья. Если помещение меньше, сырье может испортиться, чем тоньше семенной слой, тем лучше. Оптимальный объем хранимой продукции не должен превышать 45 тонн.
Вам потребуется еще одно помещение (площадью до 40 м2) для хранения торта. Жмых способен к самовозгоранию. Этот важный фактор следует всегда учитывать. Когда-то для измерения температуры такого продукта в кучу засовывали деревянную палочку, когда палочка нагревалась, жмых выносили скоту. Всего расходов в месяц:
| Расходы | 752 000 |
| Зарплата | 417 000 |
| Аренда | 100 000 |
| Показатель | 50 000 |
| Общие расходы | 35000 |
| 25000 | |
| Налоги | 65 000 |
| Бухгалтерия (аутсорсинг) | 10 000 |
| Другой | 50 000 |
Стоимость:
| Наименование расходов | Суточная добыча, кг | Стоимость за 1 кг. | Выработка за смену, руб. | Ежемесячное производство/30 смен |
| Семена подсолнечника | 11 846 | 12 | 142 152 | 4 264 560 |
| Электричество, кВт/сутки | 1500 | 4,5 | 6750 | 202 500 |
| Каменный уголь | 500 | 0,5 | 250 | 7500 |
| Вода | 15 000 | 0,25 | 3750 | 112 500 |
| Потребление безалкогольных напитков | тридцать | 1,56 | 46 | 1 386 |
| Расход отбеливателя, | 592 | 0,5 | 296 | 8885 |
| Упаковка | 5000 бутылок, емкость 1 литр | 0,5 | 2500 | 75 000 |
| Общая стоимость | 155 744 | 4 672 330 |
На складах с готовой продукцией (площадью 30 м2) может быть установлено до 7 емкостей с растительным маслом, которые вмещают до 15 кубометров объема. Хранить данный продукт допустимо в таре из низкоуглеродистой стали, так как при хранении масло само образует воскообразный слой, предохраняющий его от воздействия металла, но при получении сертификата качества масла санитарно-эпидемиологический сезон определяет срок его полезного использования. Тара может окислиться, а сертификат выдадут максимум на 1 месяц, так как такое хранение может изменить качество продукта.
Для новой компании покупать резервуары из нержавеющей стали довольно дорого, но в будущем обязательно иметь резервуары из нержавеющей стали. Чаще всего в качестве такой тары используют молочные бидоны из пищевого алюминия.






























