- Дисконтирование в МСФО
- Модификация чистого дисконтированного дохода
- Норма дисконта — что это такое, общие положения
- Различия в ставке дисконтирования в России и на Западе
- О корректности применения премии за риск
- Недостатки дисконтированного денежного потока
- Плюсы и минусы показателя
- Преимущества и недостатки подсчета NPV
- Ставка дисконтирования и ее экономический смысл
- Что такое дисконтированный денежный поток?
- Краткий обзор
- Расчет ставки дисконтирования по модифицированной модели CAPM
- Другие варианты применения таблиц
- Другие примеры расчета ставки дисконтирования
- Формула расчета
- Денежные потоки
- Ставка дисконтирования
- Как рассчитать NPV
- Пример расчета в Excel
- Методы оценки ставки дисконтирования
- Расчет ставки доходности собственного капитала
- Формулы дисконтирования
- Коэффициент дисконтирования
- Формула расчёта ДДП
- Экскурс в историю
- Внутренняя норма дисконта
- Расчет дисконтированного денежного потока по недвижимости
Дисконтирование в МСФО
Применения дисконтирования требует целый ряд международных стандартов финансовой отчетности.
-
Согласно МСФО (IAS) 18 «Выручка» нужно применить дисконтирование, если оплата товаров происходит значительно позже их поставки, то есть, по сути, это товарный кредит. Необходимо будет исключить из выручки финансовые расходы при признании и признавать их в течение периода рассрочки (аналогично в IFRS 15 «Выручка по договорам с клиентами»).
-
МСФО (IAS) 17 «Аренда» устанавливает, что активы, полученные в лизинг, принимаются к учету по наименьшей из двух величин: дисконтированной стоимости минимальных арендных платежей или справедливой стоимости полученного имущества.
-
МСФО (IAS) 36 «Обесценение активов» требует при наличии признаков обесценения проводить тест на обесценение. Определяется возмещаемая стоимость актива, которая рассчитывается как наибольшая величина из справедливой стоимости и ценности использования актива. Ценность использования актива рассчитывается как дисконтированная стоимость будущих денежных потоков, связанных с этим активом, чаще всего дисконтированных по ставке средневзвешенной стоимости капитала.
- МСФО (IAS) 37 «Оценочные обязательства, условные обязательства и условные активы» гласит, что в случае создания долгосрочных резервов сумма обязательств должна быть продисконтирована.
Модификация чистого дисконтированного дохода
Классическая формула ЧДД предполагает, что бизнесмен сначала вкладывает деньги в проект, а потом получает от него отдачу. Но в реальности обычно часть получаемых средств реинвестируется обратно в проект.
Чтобы учесть это, используется модификация чистого дисконтированного дохода (MNPV):
где:
- MNPV – модифицированный ЧДД;
- IC – сумма оттока за период t;
- d – показатель реинвестирования – это процент доходности от той суммы, которую получит и реинвестирует владелец бизнеса;
- n – количество периодов анализа.
В качестве доходности от реинвестирования можно взять, например, доходность по депозитам или облигациям. Эта формула позволит учесть дополнительные доходы от задействования полученной от проекта прибыли (которую инвестор и так куда-то бы направил).
Интерпретация полученного результата – такая же, как и у NPV: если он выше нуля, проект можно рассматривать, если ниже нуля – его стоит отклонить.
Норма дисконта — что это такое, общие положения
Независимо от специфики и размеров портфеля инвестора, его основная цель состоит в получении максимальной прибыли при минимизации рисков потерь. Инструментом для заработка являются финансовые средства, вложенные в тот или иной проект. Благодаря разумным инвестициям, владелец капитала обеспечивает постоянный доход с определенными гарантиями. Существует специальный показатель целесообразности инвестиций под названием норма дисконтирования.
Дисконтирование представляет собой действенный с точки зрения экономики инструмент, позволяющий правильно принимать решения в рамках инвестиционной деятельности, заключается в оценке стоимости инвестированных финансов в конкретное время.
Смысл дисконтирования состоит в положительной разнице между стоимостной оценкой денежных средств на данный момент времени и их стоимостью, спустя какой-то временной интервал. Причины постепенного обесценивания капитала состоят в следующем:
Осторожно! Если преподаватель обнаружит плагиат в работе, не избежать крупных проблем (вплоть до отчисления). Если нет возможности написать самому, закажите тут
- инфляция, наблюдаемая каждый год;
- возможность получать доход в настоящий момент;
- форс-мажор, к примеру, смена рыночной конъюнктуры.
Норма дисконта является планируемой нормой прибыли, полученной от инвестиций, с учетом рисков и факторов, а также доходом, приобретаемым инвестором в результате вложения финансов в альтернативный инвестиционный проект.
Под нормой дисконта следует понимать прибыль, допустимую для предварительной оценки от вложений в некий проект. По итогам вычислений данного показателя инвестор понимает, какие инвестиционные решения будут наиболее эффективны и выгодны в экономическом плане.
Различия в ставке дисконтирования в России и на Западе
Ставка дисконтирования для западных компаний рассчитывается, как правило, на основе модели CAPM или WACC. В России эти методики тоже работают, но не так хорошо, и вот почему.
Наши экономисты обычно определяют размер дисконта с учетом рисков. Самый популярный способ – суммирование безрисковой ставки и рисковой премии. Ввиду того, что наша экономика нестабильна и сильно зависит от курса иностранной валюты, реальная ставка дисконтирования может доходить до 30–40%.
Кроме того, данные бухгалтерского баланса не всегда отражают истинную стоимость денег, а российский фондовый рынок подвержен различным колебаниям, вызываемым внешними факторами.
Что касается бизнес-проектов, то в России удобно использовать коэффициент дисконтирования, который является показателем реальной стоимости денег в будущем.
Если воспользоваться таблицей ставок дисконтирования, приведенной чуть выше, нетрудно посчитать, сколько будет стоить сумма ваших инвестиций через n лет. Исходя из этого, рассчитывается срок окупаемости.
О корректности применения премии за риск
Ставка дисконтирования может применяться для выполнения трех основных функций учета в экономических расчетах:
- издержек альтернативного характера;
- инфляции;
- рисков.
Подчеркну важность условной нулевой отметки, относительно которой определяется проектный риск. Экономическое содержание риска выражается в отклонении денежных потоков от запланированных в форме недополученных доходов от проекта и (или) избыточных инвестиций
Ниже вашему вниманию предложена схема возникновения условно положительных и условно отрицательных денежных потоков и возникающих в результате исполнения рискового сценария коррекций.
Схема условных денежных потоков проекта с учетом возможных рисков
Представленная схема демонстрирует несколько интересных аспектов относительно влияния рисков на возможные финансовые события. Во-первых, корректировка денежного потока из-за рисковых событий относительно планов имеет собственную динамику. Для отрицательных потоков (инвестиций) она демонстрирует тенденцию к росту, а для положительных (на эксплуатационной фазе) – с каждым шагом, приближающим проект к завершению, фактор риска снижается. Во-вторых, реализованные угрозы снижают положительный поток и еще больше увеличивают отрицательный.
Зададимся вопросом, может ли норма дисконта в этих условиях корректно учитывать экономические риски? Расширенная формула NPV как пример оценки эффекта от проекта поможет нам в этом разобраться. Обычно ставка дисконтирования в настоящей формуле равна безрисковой норме доходности и фактор неопределенности не учитывает. При этом потоки денежной наличности считаются надежными. Однако в реальных условиях риски всегда присутствуют.
Расширенная формула NPV
Метод корректировки нормы дисконта, который мы будем использовать для того, чтобы сделать правильные выводы, не столь важен. Будем рассуждать из предположения, что ставка дисконтирования, учитывающая экономические риски, включает некую Δ, традиционно называемую «премия за риск». Тогда, по сути, неизменная формула NPV претерпит некоторые трансформации по аргументу r в знаменателях слагаемых. Модифицированная формула NPV показана ниже. В ней реальные тенденции, обозначенные красными стрелками, не только будут не соответствовать расчетным значениям, но и окажутся разнонаправленными с математическим выражением.
Расширенная формула NPV с учетом скорректированного r на экономический риск
Многие авторы, в том числе и В. Галасюк (академик УАН), открыто указывают на данное обстоятельство. Это отмечают и специалисты-практики, применяющие метод корректировки нормы дисконта. Если вложение средств определяется как одноактное событие, и норма дисконта, скорректированная на риск, используется в упрощенной формуле, ошибку обнаружить сложно. Но как только мы имеем дело со сложной проектной задачей с длительным периодом инвестирования, допустить неточность, уводящую от верных заключений, становится очень просто
Именно поэтому я призываю не жалеть времени на осмысление формул и с осторожностью применять многочисленные методы расчета ставок дисконтирования, особенно если они учитывают экономический риск
Недостатки дисконтированного денежного потока
Основное ограничение DCF состоит в том, что он требует множества предположений. Во-первых, инвестор должен правильно оценить будущие денежные потоки от инвестиции или проекта. Будущие денежные потоки будут зависеть от множества факторов, таких как рыночный спрос , состояние экономики, технологии, конкуренция и непредвиденные угрозы или возможности.
Слишком высокая оценка будущих денежных потоков может привести к выбору инвестиций, которые могут не окупиться в будущем, что нанесет ущерб прибыли. Слишком низкая оценка денежных потоков, из-за которой инвестиции выглядят дорогостоящими, может привести к упущенным возможностям. Выбор ставки дисконтирования для модели также является предположением и должен быть правильно оценен, чтобы модель была полезной.
Плюсы и минусы показателя
Главное преимущество показателя чистого дисконтированного дохода – это возможность оценки доходности инвестиционного проекта на протяжении всего срока реализации с учетом постепенного обесценения денег.
С помощью ЧДД инвестору проще анализировать график поступлений. Такой метод учитывает в том числе и процентную ставку, которая со временем может меняться. Суммируя чистый дисконтированный доход различных проектов, можно сформировать инвестиционный портфель с оптимальными показателями роста.
Недостаток показателя кроется в его абсолютности – NPV не учитывает возможные риски. Таким образом, картина рентабельности может сложиться неверной.
В целом, показатель чистого дисконтированного дохода является ключевым для анализа эффективности. Пусть его формула имеет некоторые допуски и погрешности, а также требует взвешенного всестороннего анализа различных составляющих, все же именно ЧДД определяет решение инвестора о возможности вложений.
Преимущества и недостатки подсчета NPV
Если результат подсчета NPV проекта оказывается положительным, значит, проект экономически эффективен, и потенциальные инвесторы обратят на него больше внимания
При расчете NPV можно учитывать разные сроки, складывать показатели отдельных проектов и принимать во внимание дополнительные риски. Все это – неоспоримые преимущества расчета NPV
Главные недостатки – сложность и сравнительно низкая точность расчета NPV, а речь идет о размере будущей прибыли. Ее невозможно точно предсказать, так как темпы роста, инфляция и курс валют постоянно меняются. Если учитывать в формуле много дополнительных рисков, сложность подсчета увеличивается и растет вероятность допустить ошибку.
Ставка дисконтирования и ее экономический смысл
Ставка дисконтирования (аналог: ставка сравнения, норма дохода, коэффициент дисконтирования) – это процентная ставка, которая используется для того чтобы переоценить стоимость будущего капитала на текущий момент. Это делается из-за того, что одним из фундаментальных законом экономики является постоянное обесценивание ценности (покупательной способности, стоимости) денег.
Ставка дисконтирования используется в инвестиционном анализе, когда инвестор решает о перспективе вложения в тот или иной объект. Для этого он будущую стоимость объекта инвестирования приводит к настоящей (текущей). Проводя сопоставительный анализ, он может принять решение о привлекательности объекта. Любая ценность объекта всегда относительно, поэтому ставка дисконтирования выступает тем самым базовым критерием, с которым производят сравнение эффективности вложения. В зависимости от различных экономических задач ставка дисконтирования рассчитывается по-разному. Рассмотрим существующие методы оценки ставки дисконтирования.
Пройдите наш авторский курс по выбору акций на фондовом рынке → обучающий курс
Бесплатный Экспресс-курс «Оценка инвестиционных проектов с нуля в Excel» от Ждановых. Получить доступ
| ★ Программа InvestRatio — расчет всех инвестиционных коэффициентов в Excel за 5 минут(расчет коэффициентов Шарпа, Сортино, Трейнора, Калмара, Модильянки бета, VaR) + прогнозирование движения курса |
| Оценка стоимости бизнеса | Финансовый анализ по МСФО | Финансовый анализ по РСБУ |
| Расчет NPV, IRR в Excel | Оценка акций и облигаций |
Что такое дисконтированный денежный поток?
Анализ дисконтированных денежных потоков – это метод оценки, который направлен на определение прибыльности или даже просто жизнеспособности инвестиций путем изучения прогнозируемого будущего дохода или прогнозируемого денежного потока от инвестиций, а затем дисконтирования этого денежного потока для получения расчетной текущей стоимость инвестиции. Эта оценочная текущая стоимость обычно называется чистой приведенной стоимостью или NPV.
Другими словами, DCF-анализ пытается определить стоимость компании или актива сегодня, основываясь на прогнозах того, сколько денег они будут генерировать в будущем. Ставка дисконтирования используется для получения чистой приведенной стоимости ожидаемых будущих денежных потоков. Для оценки инвестиций в недвижимость ставка дисконтирования обычно представляет собой желаемую или ожидаемую годовую норму прибыли от недвижимости. В зависимости от того, как далеко вы зайдете в будущее, формула DCF будет следующей:
Краткий обзор
Конечная цель анализа DCF – оценить деньги, которые инвестор получил бы от инвестиций, с поправкой на временную стоимость денег.
Расчет ставки дисконтирования по модифицированной модели CAPM
Пройдите наш авторский курс по выбору акций на фондовом рынке → обучающий курс
Бесплатный Экспресс-курс «Оценка инвестиционных проектов с нуля в Excel» от Ждановых. Получить доступ
Главный недостаток модели CAPM – это однофакторность. Поэтому в модифицированной модели оценки капитальных активов включены также поправки на несистематический риск. Несистематический риск еще называется специфическим риском, который проявляется только при определенных условиях. Формула расчета модифицированный модели CAPM (Modified Capital Asset Pricing Model , MCAPM) следующая:
где: ri – ожидаемая доходность акции (ставка дисконтирования); rf – доходность по безрисковому активу (например, государственные облигации); rm –рыночная доходность; β – коэффициент бета; σim – стандартное отклонение изменения доходности акции от изменения доходности рынка; σ2m – дисперсия рыночной доходности;
ru – рисковая премия, включающая несистематический риск компании.
Для оценки специфических рисков используют, как правило, экспертов, потому что они трудно поддаются формализации средствами статистики. В таблице ниже показаны различные поправки на риск ⇓.
| Специфические риски | Поправка на риск, % |
| Влияние государства на тарифы | 0,4% |
| Изменение цен на сырье, материалы, энергию, комплектующие, аренду | 0,2% |
| Управленческий риск собственника/акционеров | 0,2% |
| Влияние ключевых поставщиков | 0,3% |
| Влияние сезонности спроса на продукцию | 0,4% |
| Условия привлечения капитала | 0,3% |
| Итого, поправка за специфический риск: | 1,8% |
К примеру, рассчитаем ставку дисконтирования с учетом поправок, так если по модели CAPM доходность оставляет 10%, то с учетом поправок на риск ставка дисконтирования составит 11,8%. Использование модифицированной модели позволяет более точно определить будущую норму прибыли.
Другие варианты применения таблиц
По тому же алгоритму, что и таблицы дисконтирования, составляются таблицы, позволяющие рассчитать наращение капитала во времени. Здесь коэффициенты выше единицы, поскольку вычисление направлено по времени вперед и текущая стоимость потока приводится к будущему периоду.
Снова попробуем решить задачу. Бизнесмену предложили два варианта получения одолженных денег в сумме 50 тысяч долларов:
- получить их прямо сейчас;
- получить через 5 лет сумму в 90 тысяч долларов.
Нужно подсчитать, какой вариант более выгоден, исходя из стандартной банковской ставки 10%. Берем из интернета готовую таблицу или составляем ее самостоятельно в программе Excel.
Эта задача решается очень просто. В нужной ячейке таблицы находится требуемое значение 1,6105, которое подставляется в формулу наращения FV = PV * (1+R)n.
FV = 50000 * 1,6105
FV = 80525
Мы получаем приведенную стоимость сегодняшних 50 тысяч долларов через 5 лет в размере 80525 долларов при исходном условии, что партнер гарантирует через тот же срок возвращение средств в размере 90 тысяч. Таким образом, гораздо выгоднее согласиться на второй вариант из предложенных и через 5 лет получить 90 тысяч. Эта сумма почти на 9,5 тысяч долларов больше, чем полученные сегодня 50 тысяч долларов, размещенные на банковском депозите.
Удобны для применения табличные материалы и для расчета аннуитетных платежей, то есть предполагающих одинаковые выплаты в начале или конце равных отрезков времени. Такие ситуации часто возникают, когда люди берут банковские кредиты. Мы же снова рассмотрим пример, сходный с предыдущей задачей.
У нас снова есть кредитор, которому предлагают два варианта возврата данных в долг денег:
- получить свои 50 тысяч долларов сразу;
- получать ежегодно по 12 тысяч в течение 5 лет.
На первый взгляд, заманчивое предложение, можно выиграть дополнительно 10 тысяч, не прикладывая особых усилий. Однако стоит проверить это по формулам дисконтирования. Норма дисконта составляет 10%. Если использовать простую табличку, то нужно ежегодные суммы множить на соответствующие факторы, а затем все их сложить.
12000 * 0,9091 = 10909,2
12000 * 0,8264 = 9916,8
12000 * 0,7513 = 9015,6
12000 * 0,6830 = 8196,0
12000 * 0,6209 = 7450,8
В сумме мы получим 45488,4 долларов, то есть предложенный вариант получения денег частями невыгоден, поэтому лучше получить их сейчас и вложить в перспективный бизнес или просто разместить на депозитном счете.
При использовании специальной таблицы, считать придется намного меньше. Здесь достаточно найти нужный показатель, применение которого будет аналогично приведенным ранее расчетам. Сумму ежегодного платежа нужно умножить на коэффициент: 12000 * 3,7908 = 45489,6 долларов, что практически равно сумме расчетов по отдельным годам.
Исключение здесь составляют только крупные инвестиционные проекты, которые могут быть подвержены многочисленным трудно прогнозируемым рискам. Для них более приемлемыми являются экспертная или кумулятивная оценка нормы дисконта.
Другие примеры расчета ставки дисконтирования
Бизнес: Автобизнес
-
Автозаправка
-
Автомойка
-
Автосервис
-
Магазин Автозапчастей
-
Такси
-
Шиномонтажная мастерская
Бизнес: Безопасность
Охранное предприятие
Бизнес: Бытовые услуги
-
Ателье по пошиву одежды
-
Клининговая компания
-
Прачечная
-
Химчистки
Бизнес: Гостиничный бизнес
Хостел
Бизнес: Деньги и Финансы
Ломбард
Бизнес: Животные
-
Ветеринарная аптека
-
Ветеринарная клиника
-
Зоомагазин
Бизнес: Здоровье
-
Массажный салон
-
Медицинский кабинет
-
Стоматологический кабинет
Бизнес: Красота
-
Барбершоп
-
Парикмахерская
-
Тату-салон
-
Тренажерный зал
-
Фитнес-клуб
-
Фотостудия
Бизнес: Образование
-
Детский развивающий центр
-
Репетиторский центр
-
Частный детский сад
Бизнес: Общепит
-
Блинная
-
Кальянная
-
Столовая
Бизнес: Одежда и обувь
-
Магазин детской одежды
-
Магазин обуви
Бизнес: Продукты питания
-
Кондитерская
-
Магазин разливного пива
-
Мини-пекарня
-
Продуктовый магазин
-
Продуктовый магазин формата «У дома»
Бизнес: Развлечения
-
Баня
-
Детская игровая комната
-
Магазин детских игрушек
-
Сауна
Бизнес: Растения
Магазин (салон) цветов
Бизнес: Туризм
Туристическое агентство
Бизнес: Фармацевтика
Аптека
Бизнес: Хозтовары
Магазин бытовой химии
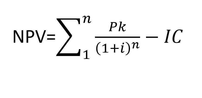
Формула расчета
Стандартная NPV-формула выглядит следующим образом:

n – период расчета;
Pk – денежные потоки за выбранный период времени;
i – ставка дисконтирования;
IC – размер первоначальных вложений.
Важно учесть все составляющие, и здесь многое зависит от конкретного проекта. Вложения нужны для того, чтобы увеличить прибыль, но для небольшого магазина и крупной фабрики эти суммы будут совершенно разными
Определение срока окупаемости тоже зависит от множества факторов. Хотя сложнее всего – рассчитать денежные потоки и ставку дисконтирования.
Денежные потоки
Под денежными потоками понимают все финансовые поступления и расходы. Под поступлениями чаще всего подразумеваются продажи, хотя встречаются и другие их виды – например, проценты от проведенных сделок. Расходы включают в себя выплату заработной платы сотрудникам, коммунальные платежи, закупку сырья, аренду помещений, обустройство рабочих мест, налоги.
Существуют также предположительные потоки, и рассчитать их гораздо сложнее – например, грядущее повышение арендной ставки или затраты на запуск на рынок нового продукта. В качестве аналитической базы используют экономические показатели, данные мониторинга конкурентов, ожидаемый эффект от рекламы и другие данные.
Чтобы оценить прибыльность рекламных кампаний, подключите сквозную аналитику Calltouch. Сервис посчитает прибыль, продемонстрирует эффективность рекламы и позволит спрогнозировать результативность кампаний.
Сквозная аналитика Calltouch
- Анализируйте воронку продаж от показов до денег в кассе
- Автоматический сбор данных, удобные отчеты и бесплатные интеграции
Узнать подробнее
Ставка дисконтирования
Узнать NPV проекта невозможно без ставки дисконтирования. Далеко не все инвесторы вкладывают собственные средства – иногда выгоднее взять кредит, чем использовать внутренние ресурсы. Или можно продать акции, если потенциальная прибыль у проекта выше, чем их доходность.
Посчитать ставку в случае с кредитом проще. Достаточно ориентироваться на годовой процент. Если же инвестор планирует использовать деньги с продаж акций, придется сравнивать прогнозы по доходам. И все равно это будет только приблизительная информация.

Как рассчитать NPV
Предположим, что в проект инвестировали 1 000 000 рублей. В качестве периода расчета NPV выбрали 1 год. Ставка дисконтирования равна 15%. Обычно ее переводят в коэффициент, то есть, делят на 100. Если размер денежных поступлений составит 900 000 рублей, получится:
900 000 / (1 + 0,15) – 1 000 000= -217 391
Эта сумма и будет чистой стоимостью, приведенной за год. Так как она отрицательная, проект считается убыточным на выбранном периоде. Но это не значит, что вложения не окупятся – просто увеличьте временной отрезок и используйте формулу:

С каждым годом коэффициент дисконтирования уменьшается, поэтому его нужно возводить в степень. Если взять предыдущий пример, за 3 года получится следующий результат:
900 000 / (1 + 0,15) + 900 000 / (1 + 0,15)² + 900 000 / (1 + 0,15)³ – 1 000 000 = 1 054 902
Так как сумма положительная, проект на этом промежутке времени оказывается прибыльным.
Пример расчета в Excel
Чтобы считать было удобнее, лучше составить таблицу в MS Excel. Преимущество этого способа в том, что можно менять различные показатели, не высчитывая их вручную, и сравнивать несколько проектов. Также в MS Excel предусмотрена функция расчета чистой приведенной стоимости – ЧПС.
Таблица с показателями выглядит так:

Для расчета в ячейку B10 нужно добавить формулу:

При изменении показателей NPV проекта будет рассчитываться автоматически.

Стоит помнить, что поступления должны быть положительными, а затраты – отрицательными.
Методы оценки ставки дисконтирования
Рассмотрим 10 методов оценки ставки дисконтирования для оценки инвестиций и инвестиционных проектов предприятия/компании.
- Модели оценки капитальных активов CAPM;
- Модифицированная модель оценки капитальных активов CAPM;
- Модель Е. Фамы и К. Френча;
- Модель М. Кархарта;
- Модель дивидендов постоянного роста (Гордона);
- Расчет ставки дисконтирования на основе средневзвешенной стоимости капитала (WACC);
- Расчет ставки дисконтирования на основе рентабельности капитала;
- Метод рыночных мультипликаторов
- Расчет ставки дисконтирования на основе премий на риск;
- Расчет ставки дисконтирования на основе экспертной оценки;
Расчет ставки доходности собственного капитала
Показатель Re, в свою очередь, тоже исчисляется по формуле:
Re = Rf + β(Rm — Rf), где:
- Rf – ставка, по которой можно получить доход способами, не требующими риска. Таким инструментом традиционно считается вложение в государственные облигации.
- β – это коэффициент, который демонстрирует колебания в стоимости акций данного предприятия относительно рыночной стоимости акций предприятий, работающих в аналогичном сегменте. Если параметр равен единице, это означает, что изменение стоимости акций данного предприятия совпадает с общими изменениями, характерными для данного сегмента. Если коэффициент больше единицы, значит, рост цен на акции данного предприятия опережает конкурентов, если меньше единицы — наоборот, отстает.
Часть формулы, заключенная в скобки, символизирует премию за рыночный риск. Иными словами, это разница в доходности между фондовым рынком и государственными облигациями. Для расчета берут статистические данные за длительный промежуток времени.
Недостаток этого способа в том, что его могут использовать только те компании, которые по организационно-правовой форме относятся к акционерным обществам. Также для расчета необходим существенный объем статистических данных за продолжительный период.

Формулы дисконтирования
Во всем мире принято пользоваться специальными англоязычными терминами для обозначения текущей (дисконтированной) и будущей стоимости: future value (FV) и present value (PV). Получается, что 2500 долларов – это FV, то есть стоимость денег в будущем, а 2066 долларов – это PV, то есть стоимость на данный момент времени.
Формула для расчета дисконтированной стоимости для нашего примера выглядит так: 2500 * 1/(1+R)n = 2066.
Общая формула дисконтирования: PV = FV * 1/(1+R)n
- Коэффициент, на который умножается будущая стоимость 1/(1+R)n, называется «фактором дисконтирования»,
- R – ставка процента,
- N – число лет от даты в будущем до настоящего момента.
Как вы видите, эти математические вычисления не так уж сложны и по силам не только банкирам. В принципе можно махнуть рукой на все эти цифры и расчёты, главное – уловить суть процесса.
Дисконтирование – это путь денежного потока от будущего к сегодняшнему дню – то есть мы идем от суммы, которую хотим получить через определенное количество времени, к сумме, которую должны потратить (инвестировать) сегодня.
Коэффициент дисконтирования
В основе метода дисконтирования денежных потоков лежит закон о «падающей» стоимости денег. Это значит, что со временем деньги «дешевеют», то есть теряют в цене по сравнению с текущей стоимостью.
Из этого следует, что необходимо отталкиваться от оценки на текущий момент, и все последующие денежные потоки или оттоки соотнести с сегодняшним днем. Для этого потребуется коэффициент дисконтирования (Кд), который необходим для приведения будущих доходов к текущей стоимости путем умножения Кд на потоки платежей. Формула расчета выглядит так:
где: r – ставка дисконтирования, i – номер временного периода.
Формула расчёта ДДП

Ставка дисконтирования – главная составляющая формулы ДДП. Она показывает, на какой размер (норму) прибыли может рассчитывать бизнес-партнер при инвестировании в какой–либо проект. Ставка дисконтирования учитывает различные факторы, в зависимости от объекта оценки, и может включать в себя: инфляционный компонент, оценку долей капитала, доходность по безрисковым активам, ставку рефинансирования, процент по банковским вкладам и не только.
Идеальная ситуация для инвестора, когда внутренняя норма прибыли (ставка дисконтирования) проекта выше, чем затраты, связанные с поиском финансирования бизнес-идеи. В этом случае инвестор сможет «зарабатывать» так, как это делают банки, то есть аккумулировать деньги по сниженной ставке процента, а вкладывать их в проект по более высокой ставке.

Экскурс в историю
В экономической теории такие термины, как «дисконтирование», «дисконт» и «ставка дисконтирования» используются достаточно широко и могут иметь несколько смыслов. С одной стороны, слово discount (англ.) дословно переводится как результат подсчета и, соответственно, понятие трактуется итоги проведенных расчетов или итоговый результат. В тоже время, слово «дисконт» может обозначать скидку или сумму, на которую уменьшится стоимость товара для конкретного покупателя. Нас интересует первое значение.
Впервые термин «ставка дисконтирования» был озвучен в 70-х годах, во время появления новой модели оценки капитальных активов САРМ (Capital Asset Pricing Model). Автором данной модели стал экономист У. Шарм. Методика использовалась для определения будущей доходности акций методом капитализации.
Постепенно показатель стал использоваться для оценки выгодности вложений в определенный период времени. Сегодня для бездолгового денежного потока ставка дисконтирования рассчитывается по средневзвешенной стоимости собственного и заемного капитала, без учета изменений размеров заемных средств в заданном периоде.
Внутренняя норма дисконта
Это такой показатель, при котором финансовый эффект от инвестиций равен нулю. В пособиях встречается в виде аббревиатуры IRR.
Иначе говоря, этот показатель демонстрирует, что собственник не понесет потерь от этих вложений. Своеобразная точка безубыточности. Внутренняя норма дисконта (формула) выглядит так:
0 = nсуммаt=1 х CFt / (1 + IRR)t — IC, где:
- CFt – денежные потоки предприятия за определенный период времени;
- IC – затраты, которые понесет инвестор, если вложится в проект;
- t – период времени.
Следовательно, если показатель IRR выше, чем затраты, то такой проект стоит рассматривать как привлекательный. Если ниже, то нужно отказаться от участия в нем. Таким образом, внутренняя норма дисконта – это отправная точка в анализе проекта.

Расчет дисконтированного денежного потока по недвижимости
Для инвестиций в недвижимость в расчет необходимо включить следующие факторы:
- Первоначальная стоимость – покупная цена или первоначальный взнос за недвижимость.
- Затраты на финансирование – процентные ставки по любому первоначальному или ожидаемому финансированию.
- Период владения – для инвестиций в недвижимость период владения обычно рассчитывается на период от пяти до 15 лет, хотя он варьируется в зависимости от инвесторов и конкретных инвестиций.
- Дополнительные ежегодные затраты – сюда входят прогнозируемые затраты на техническое обслуживание и ремонт; налоги на имущество; и любые другие расходы, помимо затрат на финансирование.
- Прогнозируемые денежные потоки – ежегодный прогноз любого арендного дохода, полученного от владения недвижимостью.
- Прибыль от продажи – прогнозируемая сумма прибыли, которую владелец ожидает получить при продаже собственности в конце прогнозируемого периода владения.
При расчете DCF необходимо оценить ряд переменных; их может быть трудно точно определить, и они включают такие вещи, как затраты на ремонт и техническое обслуживание, прогнозируемое увеличение арендной платы и рост стоимости недвижимости. Эти предметы обычно оцениваются с помощью обзора аналогичных объектов в этом районе. Хотя определение точных цифр для прогнозирования будущих затрат и денежных потоков может быть сложной задачей, после определения этих прогнозов и ставки дисконтирования расчет чистой приведенной стоимости становится довольно простым, и компьютеризированные расчеты доступны бесплатно.



























